Extra Homework 1-4
Homework #1
1. An aircraft weights 5,000 lb. The local gravitational acceleration g, is 32 fps 2. What is the mass of the airplane?

2. A jet plane is climbing at a constant airspeed in no-wind conditions. The plane takes off from sea level. The plane is directly over a point on the ground that is 6 statute miles (31,680 ft) from the takeoff point and the altimeter reads 35,419 ft. Find the distance that it has flown through the air. (2 answers)

3. An airplane weighs 9,000 lb. and is flying at 8,000 ft. altitude and at an airspeed of 250 fps. Find:
A) The potential energy
B) The kinetic energy
C) The Total energy
If the plane dives and reaches 350 fps, what is the new altitude?

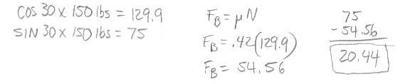
4. A 150-pound weight is resting on a 30-degree ramp with a coefficient of friction µ. = 0.42 and is restrained by a rope. What is the tension force of the rope?
Sin 30° = 0.5
Cos 30° = 0.866
Tan 30° = 0.577

Home work #2
1. An airplane is operating from an airfield which has a barometric pressure of 28.89 in. Hg and a runway temperature of 85˚ F. Calculate (or find from the ICAO tables) the following:
A) Pressure ratio
B) Pressure altitude
C) Temperature ratio
D) Density ratio
E) Density altitude

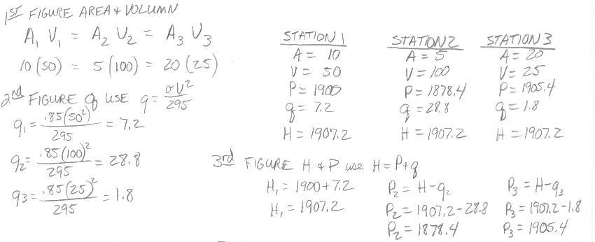
2. Fill in the values density ratio σ = 0.85

At station 1: At station 2: At station 3:
A = 10ft2 A = 5ft2 A = _______
V = 50kts V = _______ V = 25kts
P = 1900psf P = _______ P = _______
q = ______ q = _______ q = _______
H = ______ H = _______ H = _______

3. The density ratio for various altitudes are listed below. Assuming
an indicated airspeed of 100 knots, find the corresponding TAS for each altitude:
Altitude σ IAS TAS
Sea Level 1.0 90 ____
5000 0.8617 90 ____
10,000 0.7385 90 ____
20,000 0.5328 90 ____
30,000 0.3741 90 ____
40,000 0.2462 90 ____
So what can you say about TAS and altitude? Why is it advantageous to fly at a higher altitude?

4. At a TAS of 190 Knots what is the dynamic pressure of q at sea
level?___________ What is q if the density ratio σ = 0.5?_______________

5. A pitot-Static system senses a dynamic pressure of 140 lbs/ ft2.
What is the IAS at Sea Level?__________
What is the TAS as Sea Level?_________
What is the IAS at 40,000 ft? __________
What is the TAS at 40,000? _____

6. Compute the value of q (dynamic pressure) for an airplane flying at 200 knots IAS. Make this computation for the following altitudes and density ratios:
Altitude σ q
Sea Level 1.0 _______
5,000 ft 0.8617 _______
10,000 ft 0.7385 _______
20,000 ft 0.5328 _______

Home work #3
1. An aircraft at 30,000 lb has a stall speed of 110 kts, what is the stall speed of the same aircraft at 13,000 lb?

2. Solve the Lift equation for “V” and then determine Indicated stall speed for an airplane under the following conditions:
CL max = 2.2
Wing area = 195 square feet
Weight = 5,000 pounds
Air density = 0.001665 slugs per cubic foot

3. An airplane flying at 150 kts TAS with a CL of 1.7 and wing area of 180 square feet will produce ___________ amount of lift if the air density is 0.001661 slugs per cubic foot.

4. The no flap CLmax of a 7200 pound airplane is 0.7 and the wing area is 225 square feet. What is the IAS stall speed at sea level?

5. Compute the sea level stall velocity for the T-38 given the following information:
weight = 12,000 pounds
CL max = 0.94 (full flaps)
Wing area: 170 square feet
Load Factor: 1.0

Home work #4
1. How much BHP is required to offset 700 pounds of Drag at a TAS of 200 kts. Assume propeller efficiency of 80%.

2. How much THP is required to sustain level flight at 180 kts if total drag is equal to 650 pounds?

3. The Beech Travelair has a wing area of 199.2 square feet, a maximum gross weight of 4200 pounds and a published power of 360 horsepower.
a. What is the wing loading? ______________
b. What is the power loading? _____________

4. A 747 with a gross weight of 750,000 lbs is cruising at 30,000 feet a true airspeed of 500 knots. The 747 has a wing area of 5500 square feet. The density at 35,000 ft is 0.0008892 slugs/ft3. What is the value of the cruise CL?

5. A T-33 has a maximum lift over drag ratio of 15 to 1. How far could this aircraft glide if the engine flamed out at 20,000 ft and the pilot adjusted pitch to hold the optimum glide speed of 180 kts IAS? (Assume 6076 feet in a nautical mile)

6. Find total drag on a B-33 Debonair cruising at.55% power and 145 kts TAS. The B-33 engine is rated at 225 BHP and the prop is 85% efficient. Hint: Thrust required is equal to drag.

7. A 4200 pound airplane is flying at its (L/D)max which has a value of 11. Based on these facts calculate the total, induced and parasite drag.
Total Drag ____________
Induced Drag __________
Parasite Drag __________

8. The power off best glide speed for a 2450 lb C-23 Sundowner is 78 knots IAS. Holding this speed produces a glide ratio of 10.4. Calculate the total drag value based on these facts. Hint: Glide ratio is-equal to L/D ratio.
